Perché è necessario mettere sotto sorveglianza la guida sotto l’effetto dell’alcol
Questo testo è in gran parte adattato da WHO Drinking and Driving: a road safety manual for decision-makers and practitioners. Geneva, Global Road Safety Partnership, 2007.
7 aprile 2011 - Il consumo di alcol influenza sia il rischio di incidenti da traffico, sia la gravità delle conseguenze che questi provocano. La frequenza di guida sotto l’effetto dell’alcol varia da Paese a Paese ma, in decenni di ricerca sul campo, è stato dimostrato che chi guida sotto l’effetto dell’alcol ha un rischio maggiore di essere coinvolto in un incidente stradale rispetto a conducenti che non ne hanno consumato. Nella maggior parte dei Paesi che sorvegliano il fenomeno, circa il 20% di conducenti che muoiono a seguito di un incidente stradale hanno un eccesso di alcol nel sangue e nei Paesi a basso e medio reddito si è visto che dal 33% al 69% dei conducenti deceduti a seguito di un incidente stradale, hanno consumato alcol prima dell’incidente1.
Dal punto di vista della sicurezza stradale, si può parlare di guida sotto l’effetto dell’alcol quando la concentrazione ematica di alcol (BAC: Blood Alcohol Concentration) è superiore al limite legale, che in Italia è pari a 0,5 grammi per litro.
Questo limite viene raggiunto facilmente dopo l’assunzione di bevande alcoliche. Per esempio una donna del peso di 45 Kg, che beva a stomaco vuoto una birra leggera e un aperitivo alcolico, avrà una alcolemia attesa pari a 0,88 grammi/litro, cioè una volta e mezza il limite legale.
Gli effetti dell’alcol sulla guida
Gli effetti immediati dell’alcol sul cervello possono essere depressivi o stimolanti, a seconda della quantità consumata (vedi la tabella). In altri termini, l’alcol produce scarsa capacità di giudizio, aumento del tempo di reazione, minore vigilanza e riduzione dell’acuità visiva, tutti fattori che aumentano il rischio di un incidente stradale.
Fisiologicamente, l’alcol abbassa la pressione arteriosa e deprime la coscienza e la respirazione, ha inoltre proprietà analgesiche e anestetiche generali. L’effetto sulla capacità di giudizio e l’aumento del rischio di incidenti si verifica anche a livelli relativamente bassi di BAC. Tuttavia, gli effetti aumentano progressivamente man mano che il BAC aumenta. Non solo peggiorano la capacità di giudizio e il tempo di reazione, ma anche la visione.
Chi è sotto l’effetto dell’alcol, inoltre, tende a evitare l’uso dei dispositivi di sicurezza, quali la cintura o il casco.
Effetti dell’alcol sul rischio di incidenti stradali
L’alcol ha un effetto significativo sul rischio di incidenti stradali per varie categorie di individui (i conducenti, i passeggeri, i pedoni) ed è abitualmente registrato come il primo dei principali fattori che contribuiscono all’incidentalità stradale.
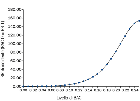
Il rischio di incidente, per i conducenti, aumenta di molto all’aumentare del BAC: per esempio per i motociclisti con BAC superiore a 0,05 g/100 ml il rischio è fino a 40 volte più alto di quelli con BAC uguale a zero. Nei primi anni del 2000 questo rischio è stato studiato nei conducenti di automobile, come si vede nella figura sottostante.
Stima del rischio relativo di morte per livello di BAC
dei guidatori in incidenti senza il coinvolgimento di altri veicoli

Come si misura l’esposizione all’alcol?
La concentrazione ematica di alcol è la misura principale per stabilire un legame tra alcol e incidente stradale. L’ammontare di alcol ematico può essere misurato in:
- un piccolo campione di sangue o di urina
- l’analisi dell’aria espirata, attraverso un etilometro
Questo strumento di misura è molto pratico e dovrebbe essere:
- accessibile agli utenti di locali in cui sono consumati alcolici, ai fini dell’autocontrollo. (l’Art. 6 della Legge 2 ottobre 2007, n. 160. Conversione DL 3 agosto 2007, n. 117, recante "Disposizioni urgenti modificative del codice della strada per incrementare i livelli di sicurezza nella circolazione")
- utilizzato nei controlli di polizia.
Nel 2010, i conducenti sottoposti a controllo con etilometri e precursori sono stati 1.643.135, il 3,3% in più rispetto al 2009, ma certamente un livello di controllo ancora insufficiente.
Bibliografia
- Peden M et al., eds. World report on road traffic injury prevention. Geneva, World Health Organization, 2004.
- Haworth N, Smith R, Brumen I. Case–control study of motorcycle crashes. Canberra, ACT, Australian Transport Safety Bureau, 2002 (Report CR174)
- Crompton RP. Crash risk of alcohol impaired driving. In: Mayhew DR, Dussault C, eds. Proceedings of the 16th Int Conference on Alcohol, Drugs and Traffic Safety. Montreal Societe de l’assurance automobile du Quebec, 2002:39–44.
